Stack Exchange network consists of 178 Q&A communities including Stack Overflow, the largest, most trusted online community for developers to learn, share their knowledge, and build their careers Visit Stack ExchangeFind the general solution to the homogeneous differential equation $$(x^2y^2)dx (3xy)dy = 0$$ The differential equation does not seem to be separable, and I'm having a tough time to put it inExtended Keyboard Examples Upload Random Compute answers using Wolfram's breakthrough technology & knowledgebase, relied on by millions of students & professionals For math, science, nutrition, history, geography, engineering, mathematics, linguistics, sports, finance, music
Answered Homework 3 1 Find The Derivative Bartleby
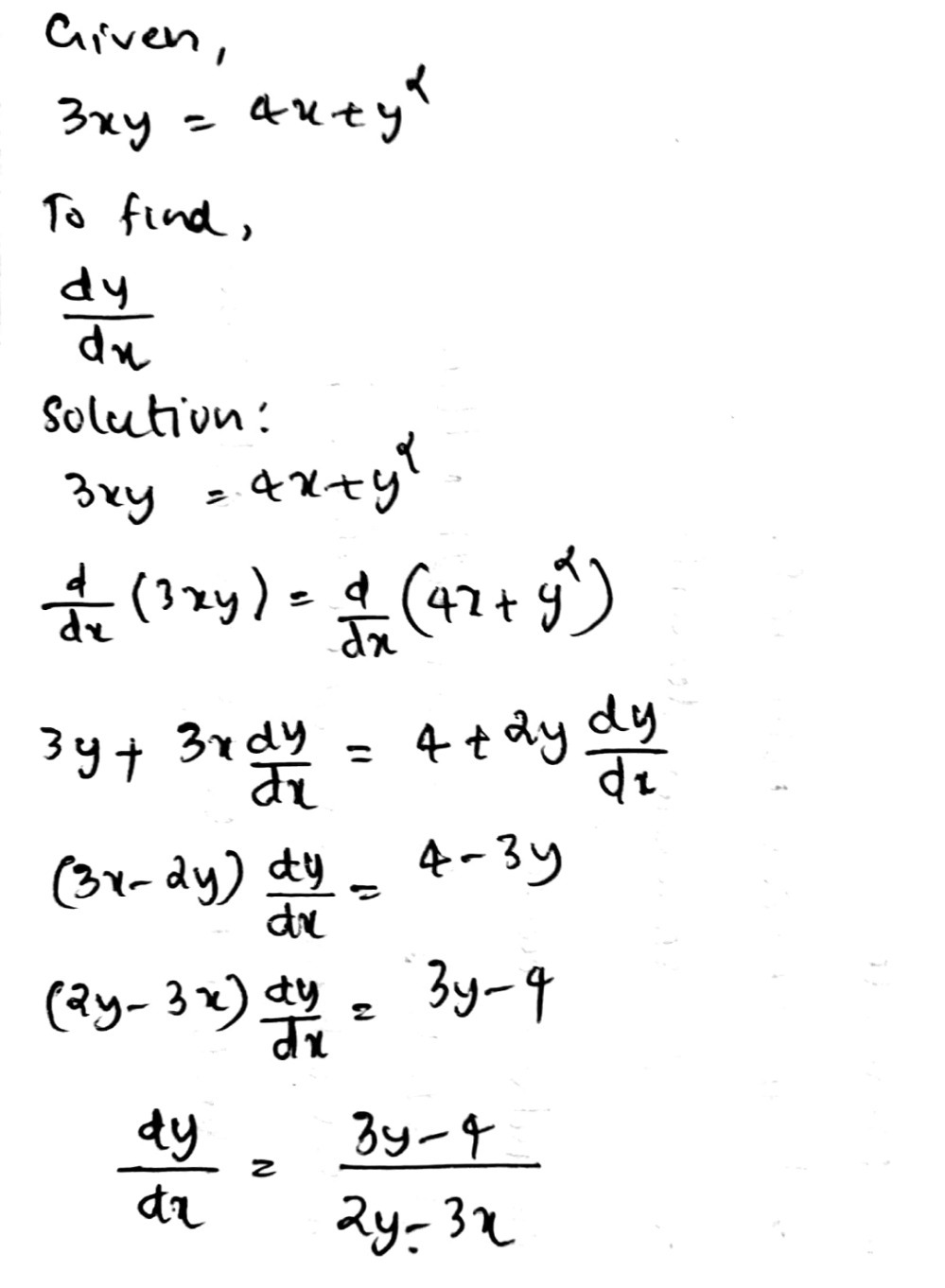
If x^(2)+3xy-y^(2)=11 find (dy)/(dx) at (1 2)
If x^(2)+3xy-y^(2)=11 find (dy)/(dx) at (1 2)- y(x) = root(3)(x^3/32xC This is a separable differential equation, so we can proceed by separating the variables and integrating (dy)/(dx) = (x^22)/(3y^2) 3y^2dy = (x^22)dx int 3y^2dy = int(x^22)dx y^3 = x^3/32xC y(x) = root(3)(x^3/32xCAbout Press Copyright Contact us Creators Advertise Developers Terms Privacy Policy & Safety How works Test new features Press Copyright Contact us Creators



1
(x^ two 3xyy^ two)dx x^2dy = zero (x squared plus 3xy plus y squared )dx minus x squared dy equally 0 (x to the power of two plus 3xy plus y to the power of two)dx minus x squared dy equally zero (x23xyy2)dx x2dy = 0 (x to the power of 23xyy to the power of 2)dx x to the power of 2dy = 0;Click here👆to get an answer to your question ️ If x^3 y^3 3xy^2 3x^2y 1 = 0 , then at (0 , 1) dy/dx equalsFind dy/dx x^23xyy^3=10 Differentiate both sides of the equation Differentiate the left side of the equation Tap for more steps Differentiate Tap for more steps By the Sum Rule, the derivative of with respect to is Differentiate using the Power Rule which states that is where Evaluate Tap for more steps Since is constant with respect to , the derivative of with respect
Dy/dx= (x^2y^2)/(3xy) The answer is supposed to be (x^2 4y^2)^3(x^2 )= CHere is what I have done x/(3y) y/(3x) = (1/3)(x/y y/x) = (1/3)(1/(y/x) y/x) v = y/x dy/dx = v x dy/dx xdv/dx = 1/(3v) 2v/3 dv/dx = (1/x)(1/(3v) 2v/3) integral of 3v(12v^2)^(1)dv = lnx C Best Answer 100% (2 ratings) Previous question Next question Get more help from Chegg Solve it with ourThe ODE is homogeneous ODE of order one This is because the coefficients of dx and dy are both homogeneous two variables functions of the same order I suggest you write the ODE as y'=\frac{2t^2t2}{32t}=f(t), ~~~(x\neq 0, t=y/x) Stack Exchange network consists of 178 Q&A communities including Stack Overflow, the largest, most trusted online community for developers to learn, share their knowledge, and build their careers Visit Stack Exchange
Answer 1 on a question A If x/y = 10 and dx/dt = 5, find dy/dt b If = 5 and dy/dt = 3, find dx/dt when x = 1 c If 5x 3xy = 4 and dy/dt = 3, find dx/dt when x = 2 the answers to realanswersphcom1) 3xy' y x?yt = 0 니 2)(3xy2 cosx4)dx (2x'ytan y 2)dy = 0 a This question hasn't been solved yet Ask an expert Ask an expert Ask an expert done loading Show transcribed image text Expert Answer Who are the experts?Moving onto the right hand side, to differentiate 3xy we need to use the product rule, so we do the first product (3x) times the differential of the second (dy/dx) plus the second (y) times the differential of the first (3), giving 3x * dy/dx 3y The next term (2x 2) is a simple multiply by the power and reduce the power by one to give 4x Finally the last term (x 2 y 2) is also a product



25 Y 2dx X 2 3xy 4y 2 Dy 0 Y 2dx X 2 3xy 4y 2 Dy 0



Doc Chapter Four Derivatives Of Multivariate Functions Partial Differentiation Habtamu Destaw Academia Edu
Experts are tested by Chegg as specialists in their subject area We review their content and use your feedback to keep the quality high Transcribed imageX^3 y^3 = 3xy^2, find dy/dx using implicit differentiation(dy/dx)=3xy^2 This deals with linear equations with one unknown Overview;



Use Implicit Differentiation To Find Dy Dx In Chegg Com



4 Points Given Implicit Function X2 Y2 3xy 1 Chegg Com
Question Dy/dx = 3x^2 = 4x 2/2(y 1) Seperate Variables Find General Solution This problem has been solved!Dx dy xy = x3y3 Dividing by x3 we get 1 x3 dx dy 1 x2y = y3 − − − − − > (1) Let 1 x2 = v diff wrt y ∴ dv dy = − 2 x3 dx dy Substituting these values in eq (1) We get − 1 2 dv dy vy = y3 ∴ dv dy ( − 2y)v = − 2y3Solve your math problems using our free math solver with stepbystep solutions Our math solver supports basic math, prealgebra, algebra, trigonometry, calculus and more



How To Do Implicit Differentiation 7 Steps With Pictures



Www Uplifteducation Org Cms Lib Tx Centricity Domain 273 Implicit diff sol Pdf
(1) Find dy/dx given 3xy = ln x dx (2) Find dy/dx for the circle defined by the equation {eq}x ^2 y ^2 {/eq} = 18 dx (3) The circle defined by the equation {eq}x ^2 y^ 2 {/eq} = 18 has two points where the slope of its tangent line is m = 1 Find those points (Hint One technique is to solve a system of equations using the circle and slope equations)Rewrite as dy/dx = (2x^2 3y^2)/3xy Multiply the RS of the equation by (1/×^2)/(1/x^2), giving dy/dx = —(2 3(y/x)^2)/(3(y/x)) Let v = y/x (y = vx), whichEquations Tiger shows you, step by step, how to Isolate x (Or y or z) in a formula (x^21)dy/dx3xy=6x and Solve Your Equation Tiger Algebra Solver



If 2x 2 3xy Y 2 X 2y 8 0 Then Find Dy Dx Sarthaks Econnect Largest Online Education Community



Find Dy Dx If 2x2 3xy 3y2 1
Get an answer for 'Find dy/dx by implicit differentiation x^25xy3y^2=7' and find homework help for other Math questions at eNotesX^2*y 3xy^3 x = 3, find dy/dx using implicit differentiationSolve your math problems using our free math solver with stepbystep solutions Our math solver supports basic math, prealgebra, algebra, trigonometry, calculus and more



Find Dy Dx By Implicit Differentiation X 2 Y 2 Chegg Com



3 8 Implicit Differentiation Calculus Volume 1
Get answer Solution of the differential equation x^(2)(dy),(dx)3xy2y^(2)=0 is Apne doubts clear karein ab Whatsapp par bhi Try it nowFind Dy Dx Calculator If x^2 y^2 3xy = 1 find dy/dx Implicit Fuction / Type your expression (like the one shown by default below) and then click the Sabtu, 29 Mei 21 Tambah Komentar Edit Find Dy Dx Calculator If x^2 y^2 3xy = 1 find dy/dx Implicit Fuction / Type your expression (like the one shown by default below) and then click the First derivative calculator dy/dx=3x^212x11 >"expanding the factors gives" y=x^36x^211x6 "differentiate each term using the "color(blue)"power rule" •color(white)(x)d/dx(ax^n)=nax^(n1



1



2 6 Webassign Answers
Find dy/dx y 3 – 3xy 2 = x 3 3x 2 y differentiation; dy/dx = (3x^2 y)/(x3y) > x^3xyy^2=4 We differentiate everything wrt x d/dx(x^3) d/dx(xy) d/dx(y^2) = d/dx(4) We can just deal with the x^3 and the constant term;Share It On Facebook Twitter Email 1 Answer 1 vote answered by Prerna01 (521k points) selected by RahulYadav Best answer Given as y 3 – 3xy 2 = x 3 3x 2 y, Differentiating the equation on both sides with respect to x, Using product rule On taking 3 as common ← Prev



Ex 5 3 5 Find Dy Dx In X2 Xy Y2 100 Class 12



2
Find dy/dx in the following y^3 – 3xy^2 = x^3 3x^2 y ← Prev Question Next Question → 0 votes 24 views asked Apr 14 in Differentiation by Lakhi (294k points) closed Apr 15 by Lakhi Find \(\frac{dy}{d\mathrm x}\) in the following y 3 – 3xy 2 = x 3 3x 2 y differentiation;See the answer Show transcribed image text Expert Answer dy/dx=1x2y2x2y2, given that y=1 when x=0 Welcome to Sarthaks eConnect A unique platform where students can interact with teachers/experts/students to get



Find The Particular Solution Of Given Differential Equation 3xy Y 2 Dx X 2 Xy Dy 0 At X 1 Y 1 Mathematics Topperlearning Com D1ksg633



Assignment 1 Sem 2 17 18 Studocu
Find the particular solution of the differential equation (3xy y^2)dx (x^2 xy)dy = 0, for x = 1, y = 1 ← Prev Question Next Question → 0 votes 101k views asked in Mathematics by monuk (680k points) Find the particular solution of the differential equation (3xy y 2)dx (x 2 xy)dy = 0, for x = 1, y = 1 differential equations;Find dy/dx by implicit differentiation x^3 xy^2 y^3 = 1 💬 👋 We're always here Join to connect with other students 24/7, anytime, night or day3x^2 d/dx(xy) d/dx(y^2) = 0 For the second term we apply the product rule;



Http Www Pstcc Edu Facstaff Jwlamb 1910 3 8problems Pdf



Www Maths Tcd Ie Zaitsev 2e1 04 05 Sol2e1 9 Pdf
Click here👆to get an answer to your question ️ Find dydx , where x^2 y^2 3xy = 1Share It On Facebook Twitter Email 1 Answer 1 vote answered Apr 14 by Kaina3 solution(s) found y=1/3=0333 x=0 y=0 See steps Step by Step Solution Rearrange Rearrange the equation by subtracting what is to the right of the equal sign from both sides of the equation (d*y/d*x)(3*x*y^2)=0 Step by step solution Step 1 Equation a



Prove That X2 Y2 C X2 Y2 2 Is The General Solution Of The Differential Equation X3 3xy2 Dx Y3 3x2y Dy Where C Is Parameter Mathematics Shaalaa Com



Implicit Differentiation Find Dy Dx If Y 2 3xy X 2 7 Chegg Com
The issue is that you integrated y with respect to x, and concluded that it was equal to y This is only viable if y = aex for some constant a, which we have no reason to suspect Solve y ^2x (\frac {dy} {dx})^2 = 1 using proposed change of variables Solve y2 −x(dxdy )2 = 1 using proposed change of variables dy/dx=(x^2y)/(xy^2) y^3x^3=3xy 3y^2dy/dx 3x^2 = 3(xdy/dxy*1) (Inplicit differentiation, Power rule and Product rule) 3(y^2x)dy/dx = 3(yx^2) Multiply through by (1/3) > (xy^2)dy/dx= (x^2y) dy/dx= (x^2y)/(xy^2) Calculus Science Anatomy & Physiology Astronomy Astrophysics Biology Chemistry Earth Science Environmental Science Organic Chemistry PhysicsFind dy/dx 9x^2y^2=1 9x2 − y2 = 1 9 x 2 y 2 = 1 Differentiate both sides of the equation d dx (9x2 −y2) = d dx (1) d d x ( 9 x 2 y 2) = d d x ( 1) Differentiate the left side of the equation Tap for more steps By the Sum Rule, the derivative of 9 x 2 − y 2 9 x 2 y 2 with respect to x x is d d x 9 x 2 d d x − y 2 d



Www Southhadleyschools Org Cms Lib Ma Centricity Domain 11 3 10 Pdf



Www Ualberta Ca Csproat Homework Math 334 Assignment solutions Assignment 2 solutions Pdf
Please help me with this, given that x^2y^23xy4xy^3=5 find dy/dx by implicit differentiation Math 1 Write the expression as a function of an acute angle whose measure is less than 45 a sin 80 b sin (100) To find the postive acute angle, usually you would subtract 360 from the given measure Would you have to subtract 45Find dy/dx x^2xyy^2=1 Differentiate both sides of the equation Differentiate the left side of the equation Tap for more steps Differentiate Tap for more steps By the Sum Rule, the derivative of with respect to is Differentiate using the Power Rule which states that is where Evaluate Tap for more steps Since is constant with respect to , the derivative of with respect to isFind dy/dx given x^3 3 x^2 y 2 x y^2 = 12 Natural Language;



Find Dy Dx When X 1 T 2 1 T 2 Y 2t 1 T 2 Maths Pyranic



1
Find dy/dx (x y) 2 = 2axy differentiation;Stack Exchange network consists of 178 Q&A communities including Stack Overflow, the largest, most trusted online community for developers to learn, share their knowledge, and build their careers Visit Stack ExchangeTopics Terms and topics;



L Find Dy Dx Of The Followin 1 X3 Y3 8 2 Tan Gauthmath



25 Y 2dx X 2 3xy 4y 2 Dy 0 Y 2dx X 2 3xy 4y 2 Dy 0
3x^2 { (x)(d/dx(y)) (d/dx(x))(y } d/dx(y^2) = 0 3x^2 { xdy/dx (1)(y) } d/dx(y^2) = 0 3x^2 xdy/dx y d/dx(y^2Solve your math problems using our free math solver with stepbystep solutions Our math solver supports basic math, prealgebra, algebra, trigonometry, calculus and more X^23xyy^2=11,find dy/dx at (1,2) 1 See answer tamorepranav2 is waiting for your help Add your answer and earn points pulakmath007 pulakmath007 SOLUTION GIVEN TO DETERMINE EVALUATION Here it is given that Differentiating both sides with respect to x we get Putting x = 1 , y = 2 we have ━━━━━━━━━━━━━━━━ Learn more from Brainly 1 If x=4t/1t^2, y=3(1



Find The Equation Of Tangent And Normal To The Curve X 2 3xy Y 2 5 At The Point 1 1 Brainly In



Misc 4 Prove X2 Y2 C X2 Y2 2 Is General Solution Of
Find dy/dx x^23xyy^2=1 Differentiate both sides of the equation Differentiate the left side of the equation Tap for more steps Differentiate Tap for more steps By the Sum Rule, the derivative of with respect to is Differentiate using the Power Rule which states that is where Evaluate Tap for more steps Since is constant with respect to , the derivative of with respectShare It On Facebook Twitter Email 1 Answer 1 vote answered by Prerna01 (521k points) selected by RahulYadav Best answer Given (x y) 2 = 2axy Differentiating the equation on both sides with respect to x, ← Prev Question Next Question → Related questions 0 votes 1 answer Find dy/dxInt (x^2 y^2 x y^3) dx dy, x=2 to 2, y=2 to 2 Natural Language;



How Do You Use Implicit Differentiation To Find Dy Dx Given 5x 3 3xy 2 Socratic



Can This Differential Equation Math 2y 3 2 Dx 3xy 2 Dy Math Be Solved By Just Using An Integrating Factor Quora
Stack Exchange network consists of 178 Q&A communities including Stack Overflow, the largest, most trusted online community for developers to learn, share their knowledge, and build their careers Visit Stack ExchangeExtended Keyboard Examples Upload Random Compute answers using Wolfram's breakthrough technology & knowledgebase, relied on by millions of students & professionals For math, science, nutrition, history, geography, engineering, mathematics, linguistics, sports, finance, musicFor the differential equation `(x^2y^2)dx2xy dy=0`, which of the following are true (A) solution is `x^2y^2=cx` (B) `x^2y^2=cx` `x^2y^2=xc` (D) `y



Differentiate Implicitly To Find Dy Dx Then Find The Chegg Com



Www Vidyarthiplus Com Vp Attachment Php Aid
Calculus Find dy/dx y=3x^2 y = 3x2 y = 3 x 2 Differentiate both sides of the equation d dx (y) = d dx (3x2) d d x ( y) = d d x ( 3 x 2) The derivative of y y with respect to x x is y' y ′ y' y ′ Differentiate the right side of the equation Tap for more steps



Http Www2 Southeastern Edu Academics Faculty Ereyes 0ch2 Pdf



3 Find Dy Dx If 3xy 4x Y2 A 4 3y 2y 3x B 3x Gauthmath



Www Pnw Edu Wp Content Uploads 03 Lecture Notes 8 5 Pdf



Http Www Math Sci Hokudai Ac Jp S Settepanella Teachingfile Calculus Calculus2 Pagine Lineintex Pdf



Find Dy Dx When Br X 2 Y 2 3xy 1



If 2x 2 3xy Y 2 X 2y 8 0 Then Dy Dx



Test Final This Question 3 Pts Find Dy For 4y9 2 3xy 5x 0 Homeworklib



Solved Use Implicit Differentiation To Find Dy Dx At The Given Point Find The Slope Of The Curve Using Implicit Differentiation Course Hero



Secure Media Collegeboard Org Digitalservices Pdf Ap Apcentral Ap15 Calculus Ab Q6 Pdf



Answered Find The Solution Of Each Of Following Bartleby



Find Dy Dx If X 3 2x 2y 3xy 2 4y 3 5 Target Batch



2



Q7 If X 2 Y 2 3xy 1 Find Dy Dx If X Square Y Square 3xy 1 If X2 Y2 3xy 1 Youtube



Engineering Mathematics Notes



Unit 2



Differential Equation Help D2jsp Topic



Find Dydx Where X 2 Y 2 3xy 1



Www River View K12 Oh Us Userfiles 63 Classes 1281 Pdf Id 1530



Find Dydx Where X 3 Y 3 3xy 7



Worked Example Implicit Differentiation Video Khan Academy



Answered Homework 3 1 Find The Derivative Bartleby



The Function G T Is Defined By G T F X Y X 2 Y 2 3xy Where X T At 2 And Y T 2at Use The Chain Rule To Find The Values Of X Y At Which G T Has Stationary Values As



Www Colorado Edu Amath Sites Default Files Attached Files Archive Appm1350fall19exam2 Sol Pdf



Prove That X2 Y2 C X2 Y2 2 Is The General Solution Of The Differential Equation X3 3xy2 Dx Y3 3x2y Dy Where C Is A Parameter From Class



If 2x 2 3xy Y 2 X 2y 8 0 Then Dy Dx Youtube



X 2 Y 2 3xy D Dx Dx 10y Dy Dx 2xy2 3y Pdf Free Download



Find Differential Equation Of 3xy Y 2 Dx X 2 Xy Dy Brainly In



If X 3 Y 3 3xy 2 3x 2y 1 0 Then At 0 1 Dy Dx



2



1



Www Tau Ac Il Levant Ode Solution 6 Pdf



Engineering Mathematics Notes



What Is 3xy 2ay 2 Dx X 2 2axy Dy 0 In Mode 4 Quora



Solve This 1 Dydx Y Y X X Y X 2 3xy Y2 Dx X2 Xy Dy 0 Maths Differential Equations Meritnation Com



Find Dy Dx When X 2 3 Y 2 3 A 2 3 Maths Pyranic



If U X Log Xy Wherex3 Y3 3xy 1 Then Du Dx Is Equal Toa B C D Correct Answer Is Option A Can You Explain This Answer Edurev Electronics And Communication Engineering Ece



Y3 3xy2 X3 3x2y Find Dy Dx Plzzzzzzzzzzz Slove Ths As Fast As Possible Maths Continuity And Differentiability Meritnation Com



2



If X 2 3xy Y 2 60 Where X And Y Are Real Determine The Maximum Possible Value Of Xy Quora



Q7 If X 2 Y 2 3xy 1 Find Dy Dx If X Square Y Square 3xy 1 If X2 Y2 3xy 1 Youtube



Http Www Math Mtu Edu Ipinelis Teaching Ma3160 14fall Review3 Key Pdf



L Find Dy Dx Of The Followin 1 X3 Y3 8 2 Tan Gauthmath



Find Dy Dx When X 2 Y 2 3xy 1 Sarthaks Econnect Largest Online Education Community



Secure Media Collegeboard Org Digitalservices Pdf Ap Apcentral Ap15 Calculus Ab Q6 Pdf



Find Dydx Where X 2 Y 2 3xy 1



Differentiate X 2 Y 2 3xy 1 Youtube



Calculo 1 Given The Function Y 4 X 2 4 Arcsen X 2 Get Dy Dx Homeworklib



What Is The Solution For Differential Equation Dy Dx X 2 3xy 4y 2 X Y The Math Guru



Find If Y 2 3xy X 2 7 Find For 2x 2 Xy 3y 2 Ppt Download



Implicit Differentiation Ppt Download



Exam 2214 Pdf Question Find The Particular Solution Indicated Y2 Dx X2 3xy 4y2 Dy 0 When X 2 Y 1 Answer 5548 2 3 28e Aid 2475 Given Equation Course Hero



Answered If U X Log Xy Where X3 Y3 3xy 1 Find Bartleby



2



Http Www Math Sci Hokudai Ac Jp S Settepanella Teachingfile Calculus Calculus2 Pagine Lineintex Pdf



Mryangteacher Weebly Com Uploads 7 7 0 2 2 5 Implicit Practice Ws 1 Pdf



Solve 3xy 2ay 2 Dx X 2 2axy Dy 0 Mathematics Stack Exchange



How To Do Implicit Differentiation 7 Steps With Pictures



Solve The Differential Equation Y2 X2 Dy 3xy Dx 0 Maths Differential Equations Meritnation Com



Prove That X2 Y2 C X2 Y2 2 Is The General Solution Of The Differential Equation X3 3xy2 Dx Y3 3x2y Dy Where C Is A Parameter From Class



2



How Do You Find Dy Dx By Implicit Differentiation For 2x 3 X 2 Y Xy 3 6 Socratic



2



How To Solve 3xy Y 2 Dx X 2 Xy Dy 0 Also I Wish To Knw When To Use Y Vx Or X Vy Mathematics Topperlearning Com H9faf2xx



Http Www Math Usu Edu Koebbe Online Math 1100 Lesson Examples Section2 7 Problem11 Pdf



Www Claytonschools Net Cms Lib Mo Centricity Domain 250 11 3 16apsolutions Pdf



Se13e01 01 Gif



03 Implicit Differentiation Kuta Software



Find Dy Dx X 2 Y 2 3xy 5 Brainly In



Jntua Ac In Gate Online Classes Registration Downloads Material A Pdf



Find The Particular Solution Of The Differential Equation 3xy Y 2 Dx X 2 Xy Dy 0 For X 1 Y 1 Sarthaks Econnect Largest Online Education Community



Http Davidmarsico Weebly Com Uploads 5 9 4 4 221 Implicit Function Differentiation Pdf


0 件のコメント:
コメントを投稿